📌 인터넷이란 ?
정보를 담고있는 각 컴퓨터들을 TCP/IP 라는 통신 프로토콜을 이용해 서로 정보를 주고받도록 한 컴퓨터 네트워크를 뜻한다.
인터넷은 지금에 이르기까지 많은 진화를 해왔지만 작동방식 자체는 크게 변하지 않았으며
인터넷은 다수의 컴퓨터를 연결하고 어떤 일이 있어도 연결상태를 유지할 수 있는 방법을 찾는 방법이다.
📌 인터넷 네트워크의 종류 ( 발전과정 )
두 대의 컴퓨터가 통신이 필요하다면 다른 컴퓨터와 물리적(이더넷케이블)
혹은 무선(wifi, bluetooth)로 연결되어있어야한다.

이러한 네트워크는 두대의 컴퓨터로 제한되지 않고 원하는 만큼의 컴퓨터를 연결할 수 있다.
하지만 여러대로 늘어갈수록 연결은 매우 복잡해지는데 다수의 컴퓨터를 연결하려면 어떻게 될까?
예를들어 10대의 컴퓨터를 연결하려면 각 컴퓨터끼리 연결한 (10*9)/2 개의 케이블이 필요할것이다.
이러한 형태를 그물형 접속형태 (mesh topology)라고하며 그물형 네트워크에는 n(n-1)/2개의 전이중 모드링크가 필요하다.

이런식으로 연결되어야 한다면 10대 100대 1000대 컴퓨터가 늘어갈수록 물리적으로 구현이 불가능할것이다.
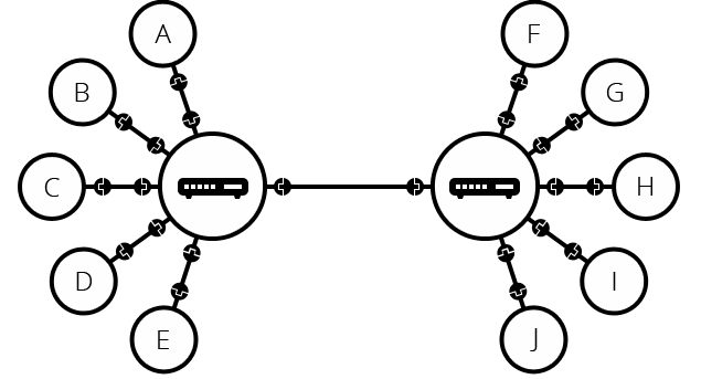
이러한 문제를 해결하기위해 네트워크의 각 컴퓨터는 라우터 라고 하는 특수한 소형컴퓨터에 연결하기 시작했다.
📌 라우터

라우터는 컴퓨터에서 다른 컴퓨터로 보낸 메시지가 올바른 대상으로 도착하는지 확인하는 일종의 우체국역할을 한다.
예를들어 컴퓨터 B에서 컴퓨터A에게 메시지를 보내려면 B는 메시지를 라우터에게 보내야하고
라우터는 그 메시지를 다른 컴퓨터가 아닌 A컴퓨터에 제대로 갈 수 있도록 동작해야한다.
이 라우터를 시스템에 추가하면 10대의 컴퓨터 네트워크에는
라우터를 사용하지 않던 전처럼 (10*9)/2 개의 케이블이 아닌 10개의 케이블만 필요하게된다.
각 컴퓨터마다 단말플러그와 10개의 플러그가 있는 하나의 라우터만 있으면 되는것이다.

📌 네트워크 속의 네트워크
이제 케이블의 제한은 라우터로 해결되었지만 라우터 역시 PC이기에 수천 수만의 케이블을 다 연결하기는 불가능하다.
단일 라우터를 그정도까지 확장할 수 없기 때문에 라우터도 컴퓨터처럼 라우터끼리 연결을 한다.

가까운거리의 컴퓨터를 라우터에 연결하고, 라우터들끼리 또 연결하고 무한히 확장할 수 있게 되었다.

우리가 인터넷이라고 부르는것에 매우 가까운형태의 네트워크가 만들어졌지만 부족하다.
목적에맞게 네트워크를 구축했지만 집과 다른 지역사이, 아주 먼 곳, 다른나라까지 케이블을 연결할 수는 없다.
예를들어 서울에사는 친구가 부산에사는 친구와 데이터를 주고받기위해 서울에서 인천까지 케이블을
연결한다는것을 말이 되지않기때문이다.
이러한 문제는 어떻게 처리해야할까?
전화기반의 시설은 이미 세계 어느곳과도 연결이 되어있으므로 이것을 이용한다면 전세계와 연결할 수 있게 될것이다.
따라서 네트워크를 전화시설과 연결하기 위해 모뎀 이라는 특수장비가 필요하게된다.
📌 모뎀

이 모뎀은 우리 네트워크의 정보를 전화시설에서 처리할수있는 정보로 바꿀수 있게 해주며, 반대의 경우도 가능하게해준다.

이렇게 네트워크는 이제 전화시설에 연결되게 되고
이제 우리의 네트워크는 전화망에 연결되어 누가 어디에 있든 데이터를 주고받을 수 있게되었다.
다음단계는 네트워크에서 도달하려는 네트워크로 메시지를 보내는것이다.
이를 위해서는 네트워크를 인터넷 서비스 제공업체 ( Internet Service Provider, ISP ) 에 연결한다.
📌 ISP
ISP는 모두함께 연결되는 몇몇 특수한 라우터를 관리하고 다른 ISP의 라우터에도 엑세스 할 수 있는 회사로
개인이나 기업체에게 인터넷 접속 서비스, 웹사이트 구축 및 웹호스팅 서비스 등을 제공하는 회사를 말하며
한국의경우 대표적으로 KT, SK브로드밴드, LG U+ 등이 있다.
따라서 우리 네트워크의 메시지는 ISP 네트워크를 통해 대상 네트워크로 전달되고
ISP는 중간에서 데이터를 전달해주는 역할을 하게된다.
인터넷은 이러한 전체네트워크 인프라로 구성되게 된다.

🚩 인터넷과 웹의 차이점
앞에서 보았듯이 인터넷은 수십억대의 컴퓨터를 모두 연결하는 기술 인프라 이다.
즉 인터넷은 인프라이며, 웹은 그 인프라위에 구축된 서비스이다.
웹 뿐만 아니라 인터넷 위에 구축된 다른 서비스들(이메일,IRC 등)도 있음을 알아야한다.
🚩 정리
인터넷은 웹의 핵심적인 기술이며
인터넷은 컴퓨터를 서로 연결하여 TCP/IP라는 통신프로토콜을 이용해 정보를 주고받는 컴퓨터네트워크이다
1. 컴퓨터와 컴퓨터간의 케이블 또는 무선연결
컴퓨터 ↔ 컴퓨터
2. 여러개의 컴퓨터연결을 위한 라우터 등장
컴퓨터 ↔ 라우터 ↔ 컴퓨터
3. 단일라우터로 수천대의 연결은 불가능하므로 라우터와 라우터를 연결
컴퓨터 ↔ 라우터 ↔ 라우터 ↔ 컴퓨터
4. 물리적으로 먼 곳은 케이블과 무선으로 연결이 불가능
전세계로의 통신이 가능한 전화시설과 네트워크를 연결할 수 있는 모뎀의 등장
컴퓨터 ↔ 라우터 ↔ 모뎀 ↔ 전화시설 ~
5. 네트워크에서 도달하려는 네트워크로 데이터를 보내기위해 ISP에 연결.
컴퓨터 ↔ 라우터 ↔ 모뎀 ↔ 전화시설 ↔ ISP (↔ISP) ↔ 전화시설 ↔ 모뎀 ↔ 라우터 ↔ 컴퓨터
-출처
https://inpa.tistory.com/entry/
https://mungto.tistory.com/300
https://development-crow.tistory.com/3
'Backend > Internet' 카테고리의 다른 글
| DNS의 개념과 작동원리 (0) | 2022.12.25 |
|---|---|
| 웹 브라우저의 작동원리 (0) | 2022.12.08 |
| HTTP (0) | 2022.09.17 |
| 3-way handshake & 4-way handshake (0) | 2022.09.04 |
| TCP/IP (0) | 2022.09.04 |